IJORS Logo

ISSN: 2158-7051

====================


INTERNATIONAL JOURNAL OF

RUSSIAN STUDIES


====================

ISSUE NO. 11 ( 2022/2 )

 

 

 

 

 

REFLECTIVE DOCTRINE ANALYSIS AND IMPACT ON THE INTERNAL AND FOREIGN POLICY OF THE REPUBLIC OF MOLDOVA

 

NICOLAE PARCEVSCHII*

 

 

 

Summary

 

In this article, the author highlights the importance of the analysis on the impact of reflexive games on the internal and foreign policy of the Republic of Moldova. Such analyzes are applied for the first time in our country regarding reflexive games. Until now, Moldova has been the subject and object of external reflexive applications. Advances in information technology are less visible and palpable for the reading public, which is not only a consumer of information, but also a subject and object of reflective informal technologies. Mathematics specialists model and create effective quantitative conflict management models. Experts in game theory and decision-making promote their own approaches in an increasingly wide range of fields (political, military, economic, etc.). But at the same time, the same specialists say that the individual is described too simplistically, the large sets and masses, with their properties, do not fit into mathematical models. One of the radical challenges for game theory and decision-making theory remains the need to develop the apparatus of reflection (first conceptually, then formally). Reflexive analysis refers to one's own awareness of the meaning of reflexive communication and interpersonal interaction. At the same time, the reflection as an object of research, since the introduction of this category by J. Locke, is considered entirely belonging to the fields: philosophy and psychology.

 

Key Words: Reflective, Game, Conflict, Innovative, Space, Cybernetics.

 

Introduction

 

The present time is characterized by an unprecedented increase in the volume of information flows, information technologies and the total computerization of all spheres of human life. In recent decades, there has been persistent talk of the transition from an «industrial society» to an «information society». There is a change in production methods in the view of the world, of people, of their image of the environment. Information technology is fundamentally changing the daily lives of millions of people. Information has become one of the most important strategic, managerial, human, financial and material resources.

Production and consumption are the necessary basis for the efficient functioning and development of the various spheres of social life and, especially, of the economy. In modern conditions, the right to information and access to it are of vital value to all members of society. The growing role of information in society has become the subject of scientific research. New theories have emerged that explain its place and significance. In his works prof. Vl. Lefevre brings many considerations and possibilities to use reflective analysis. The development of reflective analysis problems is necessary for solving many informational applications. In such circumstances far too important is the study of pheasalibites that ensures social peace for the country's population, harassed by information overload.

The concept of reflective control of psycho-semantic, social, political and military spaces allows a new approach to the value of information. For example, the sender of the information may send a truthful message based on the fact that it will be received as a fake and vice versa. If such an unusual deception succeeds, the opponent is harmed by accepting the true or false message. All this takes place through the study of human reflexes through access to mentality, auditory, visual, psycho-emotional or kinesthetic irritants.

In the local space, elements of reflective analysis appear for the first time in 2017 in the publication «Irrenology. Military geography of Moldova. Study of Contemporary Moldova, volume 333 pages».

The utilitarian tasks of Reflective Game Theory is to make optimal decisions in a conflict as a special socio-psychological phenomenon. Classical game theory, which is essentially the basis of optimal decision theory, is beginning to be understood as a theory capable of revealing the basic laws of conflict management. Intellectual processes, which occur during the interaction of complex systems, are not studied enough, because there are not enough logical means to be explicit. Professor Vl. Lefevr considers that the creation of such means is the main task of conflict theory, as a conflict is, first and foremost, a conflict of way of thinking, perception and action. Conflict of thought is manifested in many cases through social, political or physical interaction (anomic conflict, street actions, civil-military conflict, military conflicts, etc.). Therefore, in addition to the logical means of researching intellectual activity, it is necessary to construct theoretical models of the different «physical» interactions of conflicting systems. The conflicting parties interact lexically-semantically with reflexive broadcasts, where each party tries to influence situations of personal, interpersonal, group, social, internal and external, or of major interest to information users (country, social group and each individualin partre).

The final impact of the thesis is the wide involvement of political and governmental factors in the theoretical-utilitarian study of the Theory of Reflective Games at the initiation into higher state positions. This is perfectly in line with the National Project: Strengthening the national security system through knowledge and communication, 20.80009.0807.28 134-PS, State Program (2020-2023).

At the intersection of political science, philosophy, history, geography, psychology there is a need for a new discipline - irenology, which is based on the analysis of reflexive games in the socio-political space of the country, primarily when referring to social peace, parliamentary elections or foreign policy. This field is new for Moldova, all the more necessary in the presence of a frozen conflict on the Dniester and which requires an insistent diplomatic and political path, followed by multiple reflective applications. «The most effective method of irenology is to possess the Theory of Reflective Games». 

 

The applied methodology

 

Is based on the systemic approach through «Theory of active reflexive environments for innovative development», by Vladimir Lepski, doctor, prof. Un., Member of SA in Russia. In essence, it is a theory, which concretizes to the maximum the theory of Prof. Vladimir Lefevr, the emphasis being placed on the synergistic capacities of the individual, the social group, the states, which through reflexive applications can be operationally directed. It is necessary to mention that the theories of prof. Vl. Lepski have entered the active arsenal and are the basis of reflective applications in current Russian politics and geopolitics.

Reflective systems must be complex, mosaic, capable of self-organization. So complexity forms chaos, and synergistic capacity ensures the direction of chaos. V. Lepskii's theory for the first time perceives man as an «informational-innovative, mechanical system with emotional and cognitive properties, bio-cybernetic, able to self-organize due to intellectual abilities and also a component part of the innovative-informational system».

Here is what Prof. Vl. Lepski writes in one of his works:

«The psychosemantic methods allow to reconstruct the implicit picture of the specific world around the subject, which he may not be aware of and which is updated in the consumption regime. Semantic spaces can be conceived as the basis for structuring the reflexive self-organization of the subject-human consciousness, as well as the organization of the activity of the group of subjects».

«The principle of bifurcation of the subjects ensures the dynamic transformation of the individual in the subject of the virtual group, which activates in accordance with other subjects and the active-innovative environment».

Professor Ig. Smirnov in his research transforms the psycho-semantic space of a particular individual. Professor Vl. Lepskii tends to change and reorganize the psycho-semantic spaces of some crowds, from certain geopolitical spaces, through sophisticated information systems. Moreover, he demands that the subjects receiving the initial impulse of organization stay alone in the semantic spaces imposed from the outside. Thus we see that if prof. Vl. Lefevr operates pre and post-factum in the semantic space of geopolitics, prof. Vl. Lepskii progress in his theories and work «here» and «now», in other words, the present time is a subject of transformations. The bifurcation of the subjects, as a psychological aspect, is no less than the transfer of bipolar accentuations from the sphere of personality to the sphere of the self-organized and reflexive-directed crowd.

In this article we aim to analyze the situation regarding some aspects of special acuity for the internal and foreign policy of the Republic of Moldova. The study includes the aspects of reflective analysis of the semantic-innovative space through the prism of the theories of professors V. Lefevr and V. Lepskii.

 

The results of the investigation

 

After we got acquainted with the theoretical bases of professors Vl. Lefevr and Vl. Lepskii, we conclude that all events in domestic and foreign policy, international relations can be calculated and predetermined, so that a superpower or group of superpowers will be able to build new geopolitical, geoeconomic and diplomatic realities, thus achieving their own goals.

The creation of such a system began in the Republic of Moldova after April 7, 2009 and continues to this day. In fact, the construction of an innovative, political-administrative fractal, a component part of the Russian political-administrative system, has begun. After the 2020 parliamentary elections, it is redirected to the Western geopolitical vector. The natural gas crisis of 2021 demonstrated the efficiency of the Russian reflexive game and the subsequent return of Moldova to the semantic space comfortable for Russia, which fits perfectly into the theoretical paradigms set out by Prof. V. Lefevr and Vl. Lepskii.

The information ecology in Moldova will be further managed by the political factor, which determines the ways of self-identification of individuals and social groups in the conditions of regional, geopolitical fluctuations and economic crisis in autumn 2021 and its deepening in 2022.

 

Incidence of Organizational Weapon in Moldova

 

Human history is full of ploys by which some have tried to mislead others or subdue them directly or indirectly.

The organizational weapon is an invention and copyright exclusively of world superpowers, which possess macro strategies called foresight, have advanced economies and global techno-military performance. The reflexive aspect of the organizational weapon is not in doubt and is a direct consequence of reflexive applications.

Within the hybrid and asymmetric threats of the last decade, science is increasingly distinguishing a new strategy, defined as an organizational weapon. The new type of weapon denotes the historical trend of moving from weapons of mass extermination to the category of self-disorganization and self-disorientation of states and governments, in order to preserve the existing material base and resources, or reshape geopolitical preferences. The application of this weapon induces in the target state a deep political impact (blockage), which distorts its own economic programs, making them ineffective. It distorts the foundations of national culture and ethno-social cohesion, in order to facilitate the emergence of the «fifth column». As a result, a situation of internal economic, psycho - social and political chaos is established in the respective country. Such examples can be found in the Romanian «revolution» of 1989, the Ukrainian square, the conflagration in Donbass, as well as in all the «color revolutions» in the victimized countries, including Moldova 2003, 2009, 2016.

The outbreak of the Ukrainian crisis in 2014 and the annexation of Crimea took public opinion, the press and Western officials by surprise. There were clear signs that Russia could react militarily to the risk of losing any influence over Ukraine. No one in the West suspected that Russia would simply and decisively annex Crimea and trigger an armed conflict in Donbass. This demonstrated the inability of Western political actors to anticipate or impede Moscow's aggressive conduct. The Romanian military investigation bodies warned about the annexation of Crimea, at least half a year before the completion of this operation. Vladimir Putin devised this ploy and the «green men» peacefully took over Crimea, after which they simulated a referendum. The Crimean referendum was organized with bureaucratic and diplomatic fairness, but given the exceptional conditions in which it took place, the real choice of the Crimean people remains to be perceived as a successful reflexive game of the Kremlin in the geographical space of Ukraine. Nothing new, Russia annexed a territory and started a civil war on the territory of Ukraine, forming a new separatist zone. That is a frozen conflict that has become an anchor capable of preventing Ukraine from drifting westward. These issues had to be addressed by the then Ukrainian government, as did the 1992 military-political crisis and the 2021 economic crisis in Moldova.

In this context Victor Strâmbeanu, prof. Un. dr. general MApN Romania, reported: «What has not yet been fully understood is that hybrid warfare serves the purpose of the aggressor better than the one who defends himself. It can be said, without the risk of making too many mistakes, that hybrid warfare is predominantly offensive based on its very meaning and purpose, to achieve its objectives by using camouflaged, covert, ambiguous methods and actions to avoid the accusation of aggression».

 

The Reflective Aspects of the Romanian-Moldovan Unionism

 

If we refer to the definition of nation, our personal attitude towards the problem of unionism is realistic and pragmatic. The conclusion is that both banks of the Prut have specific qualities for two nations, which speak a common language, but with a different mentality.

Although Germany and Austria speak the same language and have common cultural features, it is their mentality that distinguishes them by identifying with their own geographical territory. It is the Moldavian-Slavonic mentality that forms the main drift from the goals of an integral nation. This was amply demonstrated by Romanians in December 1989, mining in 1990, 1991, 1999 and the events in February 2016. Moldovans, on the contrary, since 2009 and until now, have demonstrated chronic distortion of social perception at the ethnic level, and «the syndrome billion» put an end to this statement. Romanian-Moldovan unionism, as ridiculous as it may seem, has its origins in the 1960s, the Khrushchevite spring of the USSR, in the 15th century in past, in the Lubeanca cabinets, against the background of acceptance, the Carpathian project, promoted by US Secretaries of State Henry Alfred Kissinger and Zbigniew Kazimierz Brzeziński. Subsequently, this concept was preserved until the end of the 80's, being revived by the perestroika-gorbaciovista, through the KGB projects «Baical» and «Dnestr».

An important moment of the unionist emancipation movement is that from the very beginning it was directed and guided by the special services, moreover, the authentic unionists were soon removed from the leadership of the national emancipation movement and towards the beginning of the Dniester conflict since 1992, it has fully enshrined Russia's regional and strategic goals. The 1992 Dniester military conflict is a classic Russian reflexive military game. Its reflexive dynamics can be easily deciphered in the chronology of the events of that time.

Against the background of the anomic state and massive corruption in the upper echelons of the political class in Moldova, there is a stable dynamic of increasing the number of followers of unionism among the population.

The decoration of the Moldovan unionists with the «Star of Romania» brought a reverse service to unionism, given the fact that the «professional unionists» were decorated, who enslaved Eastern geopolitical interests. While the Kremlin was preparing the Crimean anschluss, the unionists in Chisinau set up a center of political tension, which diverted the attention of EU political opinion from Crimea. The administration on the Red Square has shown excellent ingenuity in this case. With the hands of T. Băsescu, he decorated the «professional unionists» from Moldova for the participation in the geostrategic operation of annexation of Crimea. This approach of T. Băsescu was perceived bipolar by the sincere unionists from Moldova and can be conceived as a failure of T. Băsescu in the geostrategy of unionism.

In this order of ideas, James Pettit declared on June 9, 2017, during the show «Peatniţa» from RTR-Moldova. «We have to take into account what we (USA) and the EU are doing in the Republic of Moldova. As I have already said, my country alone has already given Moldova over one billion dollars (referring to the period 1991-2017) for the development of the state not only economically, but also democratically. The European Union offered a similar amount, but Russia? What did Russia give? Not only do they not have a developed help program, but they still punish you, as is this embargo. That is why we are surprised that, according to all the polls, it seems that more than half of the population is pro-Russian. How do we explain that? It is very difficult for us to understand». The comicality of this situation is obvious, but it reflects V. Putin's tactics of resolving political and regional situations from the financial account of other states, which arouses the admiration of his followers in Russia and abroad.

These examples once again show us that the keys to the unionist movement are not only in Bucharest or Chisinau, but also in the geopolitical centers of Germany, France, Turkey, Austria and most importantly Russia.

Some Moldovan intellectuals are sincerely convinced that the Union deserves to be built to get rid of the oligarchic reminiscences and the corrupt political class, but there is a risk of a further civil and even regional war.

The 2021 parliamentary elections showed that the doctrine of Romanian-Moldovan unionism gave way to the concept of EU accession, although the EU Association Agreement is not finalized at the level of state strategy and doctrine, and the actual EU accession can be achieved only after 2050, as the official Brussels puts it. The further promotion of the ideas of EU accession by the parliamentary majority is another active reflection, meant to keep the electorate in its sphere of influence. At the same time, the 2021 election campaign of the alleged unionist parties demonstrated the absolute incompetence of the party leaders.

 

Case study on Romanian - Moldovan unionism

 

The reflective analysis of the perspectives of the union reveals the following situation:

Romania. Order of importance of states- Russia, USA, Germany, France, England ,.

In the next graph, England is eliminated as less important.

Figure 1. Order 1 of the importance of states for Romania
Source: made by the researcher.

Figure 2. Order 2 of the importance of states for Romania
Source: made by the researcher.

And we already decompose this graph and for it we find the polynomial

a + ebc

and the diagonal formula

 

Figure 3. Diagonal formula of relations
Source: made by the researcher.

And the equation for Romania will be

a + ebc

Romania will ask the USA, Germany and France for an alliance and active policy on the question of the Union. Russia will keep the free choice and demand respect for a status-guo from the triple alliance. The triple alliance will not be pleased with the Union's initiative and surrenders to Russia, it will demand neutrality from Romania. The keys to the Union are in Moscow, respectively. The future diplomatic and geopolitical effort of Romania and Moldova must be directed towards Russia. The situation at the moment is uncertain. Romania and Russia do not have active mutual diplomacy. Romania is restricted in the free choice of alliances within the EU and NATO. Thus, Russia has the free choice to resolve the Union.

The final equation for Russia a = 1 + ebc = 1. For Romania- 0 = a + ebc = 0.

 

Figure 4. Graph of frustration
Source: made by the researcher.

The order of importance of states for Romania vs. the question of the Union - Russia, USA, Germany, France, England, Ukraine, Turkey, Moldova, Hungary, Bulgaria, Yugoslavia.

 

Figure 5. The political matrix
Source: made by the researcher.

Figure 6. Relationship and policy matrix.
Source: made by the researcher.

Using the content-color binomial, we further easily decipher the relations between states.

Example1. Romania. The political matrix.

Will pursue an active policy in conflict with Russia. With the USA, DE, EN, FR, UA, MD will pursue an active policy and ask for support. With Ua, Un, Bg will pursue a passive policy and will be in a state of conflict.

Example 2. Romania. Relationship matrix.

With Russia, Ukraine will not make alliance and will be in conflict. With the USA, DE, EN, FR will make a compliment and ask for support. Does not form an alliance with the AU and will be in conflict. With TU he will not make a fuss and demand neutrality. With Hu, Bg will not form an alliance and will be in conflict.

Looking at the matrices as a whole, we see an extremely complex mosaic situation for Romania and the subject of the Union.

Romania's effort on this subject requires a titanic thing on the diplomatic and geopolitical chain. An effort that Romanian diplomacy is not able to overcome on its own in the coming decades. Once the postulates of the Union were declared in 2012 and then in 2018, they did not achieve their goal, without diplomatic and geopolitical support. Respectively, the doctrine of the Union is automatically transferred from the area of ​​social and international relations (failed) to the area of ​​symbolism and traditionalism. The frustration implanted 200 years ago was reinforced by populist activities and campaigns lacking diplomatic effort. With each failed activity, the frustration will intensify. Finding a people in a state of consolidated chronic frustration allows reflective manipulation in any geopolitical direction. And the Union, which has become the currency of exchange in the reflexive game of the Great Powers, becomes a brand, a dubious financial scheme, an element of mass ethnic schizophrenia and no geopolitical support of the Union.

In the following, for each country the semantic sequence of its foreign policy can be extracted.

High-performance doctrines in geopolitics and diplomacy are the only support of the Union.

 

Reflective Aspects of the Concept of Moldova's Accession to the NATO Block

 

NATO's military-strategic accession took root in the socio-political space of Moldova after the military failure of 1992, when the leadership of the Republic of Moldova realized its military-strategic inferiority in the face of a major military danger. Although Moldova participates in the PFP and IPAP program, NATO does not come up with the accession proposal and is in no hurry to carry out a deep restructuring of the Moldovan army, limiting itself to outdated technical assistance and non-lethal weapons. Moreover, NATO promotes the limitation of the military capabilities of small states, which may conflict with its doctrines in the event of the coming to power of Eastern-oriented governments. The concept of joining NATO is used by the unionists as an argument for Moldova's insecurity towards the eastern military factor, but joining NATO is promoted without a prior reflective study. Therefore, the concept of joining NATO remains in the emotional sphere of its followers, who do not possess knowledge of reflective analysis of this concept.

Next we turn to the Theory of Reflective Games of prof. Vl. Lefevr.

Suppose generically that in the period 2022-2024 for Moldova the time has come to choose its course between the doctrines of neutrality and NATO membership.

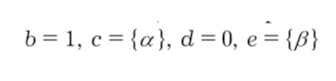
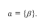
We notify the maintenance of neutrality by α, and the accession to NATO by β. The alternatives will look like this:

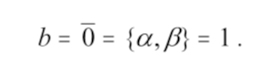
1 = {α, β} - unachievable (dual choice)

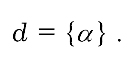
α- maintaining achievable neutrality,

β- NATO (EU) accession achievable.

0 = {} - maintaining the achievable status quo

 

Whether in Moldova we have the following arrangement of forces:

 

a- political elite

b- army,

c- the police

d- population

e- business

We assume that the political elite is in alliance with the population and the police. The army is in alliance with the population and in conflict with the political elite, the police and the business community. The police are in alliance with the population and the business is in conflict with all social actors. In this case the graph of realities will look like this.

Figure 7. Graph of institutional relations.
Source: made by the researcher.

Figure 8. Diagonal formula of relations
Source: made by the researcher.

We assume that the choice of course must be made by the political elite. The other actors can influence this choice. The formula will look like this.

The formula for the political elite will look like this.

Either the army will ask the political elite to end the dualist course and make a concrete decision.

The police will ask for neutrality.

The population is also prone to neutrality.

Business demands NATO (EU) membership as a more appropriate solution.

By unifying these binomials we obtain

Forwards

Respectively in this arrangement of forces the elite will choose the active course of accession to NATO (EU) and dualism will not be accepted.

In the account we will take care of another arrangement of priorities, when all actors prefer to keep the status quo present.

When actors prefer neutrality

Or when actors prefer to join NATO (EU)

In all cases we see that the political elite conforms to the opinions of social actors.

Let's imagine that the business (s) wanting to attract the population (s), starts to build cheap infrastructure, housing, charity funds, etc. This leads to a situation where the population does not want change and ceases to press the political elite to join NATO or the EU. The influence of other political actors remains unchanged.

Hence, changing the influences on the political elite, the latter is brought to the choice of the NATO (EU) option.

Generalizing both case studies, we come to the conclusion that in times of crisis social actors are willing to change and reform, directing their electoral preferences to reformers. In the event of the reformers' failure, the social actors will gravitate towards other political preferences. In times of prosperity, political actors prefer a predictable status quo.

 

 

 

Bibliography

 

 

Lavrov I.A., Maksimova, L.L. (1974). Problems of set theory and mathematical logic. Technical Publishing House, Bucharest.

Lefebvre V. A. (2003) Algebra of conscience. Ed. publishing house Kogito-Tsentryu. Moscow.

Lefebvre V. A. (1991) Formula of man. Ed. publishing house Progress, Moscow.

Lefebvre V. A. (2003). Reflection. Ed. publishing house Kogito-center, Moscow.  

Lefebvre V.A. G. L. Smolyan. (1968)  Algebra of Conflict. Ed. publishing house Kogito-center, Moscow

Lefebvre V.A. (1973)  Conflicting structures. Ed. First publishing house, Moscow.

Lefebvre V.A. (2009) Lectures on the theory of reflexive games.. Ed. publishing house Kogito-center, Moscow.

Lepskiy V.E. (in collaboration with Raputo A.G.). (1999) Modeling and support of communities on the Internet. Ed. publishing house of the Institute of Psychology of the Russian Academy of Sciences. Moscow.

Lepskiy V.E. (2016) Analytics of the assembly of subjects of development. Ed. "Kogito-Center". Moscow.

Lepskiy V.E. (2015). Evolution of ideas about management (methodological and philosophical analysis). Ed. from your Kogito-Center. Moscow.

Lepskiy V.E. (2016). Management technologies in information wars (from classics to postnonclassics). Ed. from your Kogito-Center.  Moscow.

Lepskiy V.E. (2010) Reflexive-active environments of innovative development. Ed. publishing house "Kogito-Center". Moscow.

Lepskiy V.E. (2009) Subject-oriented approach to innovative development. publishing house "Kogito-Center". Moscow.

Lepskiy V.E. (1998) The concept of subject- oriented computerization of management activities. Ed. Institute of Psychology RAS. Moscow.

Manin Yu. I . (2010) A Course in Mathematical Logic for Mathematicians. Ed. Springer-Verlag. New York.

Marcus A., Szanto Cs., Toth L. (2005) Logika hales halmazelm´elet. Ed. Scientia, Cluj-Napoca. Moscovici S., Buschini F. (2007) Methodology of socio-human sciences. ed.

 

 

 


 

*Nicolae Parcevschii - PhD student (year III) Academy of Public Administration, Lieutenant Colonel R., Military Psychologist, Military Geographer, Republic of Moldova; Chișinău email: parcevschiinicolai@mail.ru

 

 

 

 

© 2010, IJORS - INTERNATIONAL JOURNAL OF RUSSIAN STUDIES